DESIGNATION OF OPTICAL GLASS TYPES

1.0 Designation of Optical Glass Types

Each optical glass has its own properties which are closely connected to the key chemical elements contained therein. In OHARA’s glass type designation system the first or second characters include the atomic symbols of one or two important chemical elements for that glass type. The third letter of the glass type designation refers to the refractive index of each glass type within its glass group: H, M or L for high, middle, or low index . Lastly we assign a one or two digit number to each glass type within a given glass family. Thus each glass type is typically represented by three letters plus a one or two digit number. The prefix “S-“ stands for environmentally safe and the prefix “L-“ is used for low transformation temperature (Tg) glass types. The suffix “Y” is used for i-Line-glass types and the suffix “W” is used for glasses with improved transmittance. For example, the glass type S-BSL 7 is environmentally safe (S-), contains Boron (B) and Silicon (S), shows a low index (L) and is the seventh (7) glass within this BS glass family . Along with OHARA’s glass type designation, each single glass type is identified by a six digit code. The first three digits represent the refractive index at the helium line (nd) and the last three digits represent the Abbe number (νd). This six digit code is internationally recognized within the optical community.

Optical Glass Designation Explanation
OPTICAL PROPERTIES

2.1 Refractive Index

Refractive Index

When light enters the glass, it slows down inversely proportional to the refractive index compared to in a vacuum or in air. The refractive index of optical glass is usually expressed as the speed ratio of light in the air to themedium (glass sample).

The refractive index is measured by sending a predetermined wavelength of light into the sample and measuring theminimum deviation angle of the emitted light bent by refraction, according to JIS B 7071-1. For the 20 spectral lines shown in the table below, numerical values are shown to five decimal places. The refractive indices (principal refractive indices) for d-line (587.56 nm) and e-line (546.07 nm) are also shown to six decimal places.

Spectral Line Symbol t
Light Source Hg Hg Hg Hg Hg
Wavelength (nm) 2325.42 1970.09 1529.58 1128.64 1013.98
Spectral Line Symbol s A′ r C C′
Light Source Cs K He H Cd
Wavelength (nm) 852.11 768.19 706.52 656.27 643.85
Spectral Line Symbol He-Ne D d e F
Light Source レーザー Na He Hg H
Wavelength (nm) 632.8 589.29 587.56 546.07 486.13
Spectral Line Symbol F′ He-Cd g h i
Light Source Cd レーザー Hg Hg Hg
Wavelength (nm) 479.99 441.57 435.835 404.656 365.015
OPTICAL PROPERTIES

2.4 Disperson Formula Constant

The refractive index for wavelengths not listed in the data sheet can be calculated using the dispersion formula. The Sellmeier equation is used as a practical dispersion formula, as detailed below.

Sellmeier Equation
n : Refractive index to be calculated
λ : Arbitrary wavelength (μm)
A1、A2、A3、B1、B2、B3 Constant (listed in the data sheet)

Using this dispersion formula and the constants for each glass type, the refractive index of any wavelength in the standard measurement wavelength range (365 to 2325 nm) can be calculated with a calculation accuracy of ±5×10<sup>-6</sup>. However, for glass types for which the refractive indices for the entire standard measurement wavelength range are not listed in the data sheet, the applicable wavelength range of the dispersion formula is limited to the refractive index range listed in the data sheet.

OPTICAL PROPERTIES

2.7 Internal Transmittance

Internal transmittance 〔 τi(10 mm)〕

“Internal transmittance” refers to the spectral transmittance of the glass itself, not including reflection losses at the optical glass-air interface; it indicates the transparency of the glass. Most optical glasses absorb a substantial amount of light in the near-ultraviolet region. For some glasses, especially those with a high refractive index, this absorption range also extends into the visible range. This absorption is not only caused by the composition of the glass; it is also affected by impurities in the glass, and varies slightly from melt to melt.

The spectral transmittance (including reflection loss) is measured based on the JOGIS-17 standard at wavelengths from 280 nm to 2400 nm in a pair of glass samples with different distances through which transmitted light passes. Then, the internal transmittance 〔τ<sub>i</sub>(10 mm)〕 at a glass sample thickness of 10 mm is calculated from the measurement data.

OPTICAL PROPERTIES

2.10 CCI (Color Contribution Index)

CCI

CCI (Color Contribution Index) is an index for predicting how much the color of a photograph taken using a certain lens system changes compared to the original color, due to the spectral characteristics of the lens. It is indicated by a set of 3 numbers for blue (B) / green (G) / red (R). Ohara uses this index to predict how much the color will change as a single glass element. For the measurement method, refer to JIS B 7097 “How to express the color characteristics of a photographic lens by the ISO color characteristic index (ISO / CCI)”. The numbers shown are calculated using the sum of the values of the internal transmittance of the glass sample every 10 nm and the average color film weighted spectral sensitivity, described in JIS. For example, B / G / R of 0/3/5, is shown in Fig. 4 in trilinear coordinates.

CCIE
OPTICAL PROPERTIES

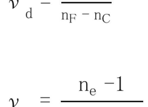
2.2 Dispersion and Abbe Number

Dispersion and Abbe Number

Dispersion refers to the phenomenon arising from a variation in the refractive index depending on the wavelength. Here, nF-nC and nF’-nC’are displayed as the main dispersion. The Abbe number is an index of the magnitude of the variance and is also called the inverse dispersion rate. The larger the variance, the smaller the Abbe number.

Abbe Numbers Calcuation

The glass type data sheet indicates the dispersion, calculated from the refractive index to six decimal places . Abbe number is indicated to two decimal places, this is the result of the calculation from nd to six decimal places and the principal dispersion to six decimal places .

Two decimal places: This is the result of calculation from nd to six decimal places (with seven effective digits) and the principal dispersion to six decimal places (with four or more effective digits).

OPTICAL PROPERTIES

2.5 Temperature Coefficient of Refractive Index

Temperature coefficient of refractive index 〔Δn relT

The refractive index of glass changes with temperature. The amount of change in the refractive index due to temperature changes is expressed as the temperature coefficient of the refractive index, and is defined by Δn / ΔT from the curve showing the relationship between the glass temperature and the refractive index. Δn / ΔT changes depending on the measurement wavelength and temperature range, so the Abbe number also changes with temperature.
There are two ways of showing the temperature coefficient of refractive index; one is the relative coefficient, Δnrel/ΔT (10-6 K-1) measured in dry air (101.3 kPa) at same temperature as the glass, and the other is the absolute coefficient ,Δnabs/ΔT (10-6 K-1) measured under vacuum.

The temperature coefficient of refractive index of each glass type is measured as Δnabs/ΔT according to ISO 6760-1 and from this value the Δnrel/ΔT value normally used in optical design is calculated. The relationship between Δn abs/ΔT and Δn rel/ΔT is given by the following formula.

Formula for temperature coefficient of refractive index of glass

n :Refractive index of glass sample (in air, 25 ° C)

OPTICAL PROPERTIES

2.8 Coloring

Coloring

Coloring refers to the degree of coloration of the optical glass and is determined by measuring the spectral transmittance, including reflection losses, for a glass sample with a thickness of 10 mm, according to JOGIS-02. From the spectral transmittance curve (Fig. 3), the wavelengths showing the transmittance of 80% and 5%, respectively, are rounded and displayed in 5 nm units. We use this rounding method: the range 0 nm to 2 nm counts as 0 nm, the range 3 nm to 7 nm counts as 5 nm, the range 8 nm to 10 nm counts as 10 nm . For example, if the wavelength with 80% transmittance is 403 nm and the wavelength with 5% transmittance is 357 nm, the coloring is shown as 405/355.

Optical Glass Coloring

For glass types with a high refractive index, nd ≥ 1.84, the reflection loss is large, so the wavelength showing transmittance of 70 % is used, instead of 80 %, and the value is shown in paranethesis. For example, (415).

OPTICAL PROPERTIES

2.3 Partial dispersion ratio and anomalous dispersion

Partial dispersion ratio 〔θx, y〕 and anomalous dispersion 〔Δθx, y
Anomalous dispersion refers to how far away a glass is from the trend line between the partial dispersion ratio θx, y = (nx-ny) / (nF-nC) for wavelengths x and y and the Abbe number νd. In optical design, glass with anomalous dispersion is required to enable color correction of the secondary spectrum.
Therefore, we have released the θg, Fd diagram and the θC, td diagram as means to show the relationship between θx, y and νd of each glass type. In order to numerically express the anomalous dispersibility, 511605 (NSL 7) and 620363 (PBM 2) are used as reference glasses, and the straight line connecting these two glass types is considered the “normal” line. The difference between the “normal” line and the vertical coordinates θx, y of each glass type is calculated as anomalous dispersion Δθx, y (Fig. 2). In this catalog, the partial dispersion ratio is θg, F and θC, t, and the anomalous dispersion is Δθg, F and ΔθC, t.

Although NSL 7 and PBM 2 are not currently produced by Ohara, the conventional NSL 7 and PBM 2 values ​​(Table 2) are used as the reference values.

Reference Values

θc,t
θC,A'
θg,d
θg,F
θi,g
vd
NSL 7
0.8305
0.3492
1.2391
0.5436
1.2185
60.49
PBM 2
0.7168
0.3198
1.2894
0.5828
1.4214
36.26

g,Fd図とΔθg,F

2.3 Chart
OPTICAL PROPERTIES

2.6 Relational Constant for Temperature Coefficient of the Refractive Index

Relational constant for temperature coefficient of the refractive index

The temperature coefficient of the absolute refractive index of glass for wavelengths not listed in the data sheet can be calculated as a function of wavelength and temperature. Ohara uses the following equation.

Equation for Temperature Coefficient of absolute refractive index of glass
(λ,T0) Refractive index at reference temperature
0 Reference temperature (°C) (Ohara defines this as 25°C)
T: Target temperature (°C)
λ: Vacuum wavelength (μm)
D0D1 D2E0 E1、λTK Constant (listed in the data sheet)

To determine the temperature coefficient of the relative refractive index, refer to the equation given in the previous section, “Temperature coefficient of the refractive index”.

OPTICAL PROPERTIES

2.9 Internal Transparency

Internal transparency〔λ0.800.05

As a simplified indicator of coloring, the wavelength values in nm at which
the internal transmittance of a 10 mm thick glass sample is 0.80 and 0.05
are indicated.

THERMAL PROPERTIES

3.1 Strain Point [StP]

Strain Point [StP]

The strain point is the maximum temperature at which the viscous flow of glass is not possible, and at which the internal strain (residual stress) cannot be removed even by annealing (at or below the strain point). This is the temperature where the viscosity is 1014.5 dPa·s {poise}. The fiber elongation method is used for measurement, with reference to JIS R 3103-2.

THERMAL PROPERTIES

3.4 Softening Point〔SP〕

Softening Point〔SP〕

The softening point is the temperature at which glass deforms under its own weight and is the lower limit temperature for glass molding and pressing. The glass viscosity is 107.65 dPa · s {poise} at this temperature.

The softening point is measured by the Fiber Elongation Method referred to JIS-R3103-1. This method measures the temperature at which the upper part of the glass fiber sample, heated in an electric furnace, grows at a rate of 1 mm / min under its own weight.
THERMAL PROPERTIES

3.2 Annealing Point 〔AP〕

Annealing Point 〔AP〕

The strain point is the maximum temperature at which the viscous flow of glass is not possible, and at which the internal strain (residual stress) cannot be removed even by annealing (at or below the strain point). This is the temperature where the viscosity is 1014.5 dPa·s {poise}. The fiber elongation method is used for measurement, with reference to JIS R 3103-2.

THERMAL PROPERTIES

3.5 Linear Coefficient of Thermal Expansion〔α〕

 Linear Coefficient of Thermal Expansion〔α〕

The average coefficient of linear expansion is the rate of elongation of a glass sample between two specified temperatures per 1 K. The average coefficient of linear expansion is measured via the method referred to in JOGIS-16 and JOGIS-08. The thermal expansion curve is obtained by measuring a well annealed glass sample, size 4.5 mm diameter by 25 mm long, heated at a constant rate of 4K per minute over the entire temperature range. From the temperature and elongation of the glass sample, the mean linear coefficient of thermal expansion is determined and shown up to the first integer in units of 10-7K-1 for 3 temperature ranges; –30℃ to +70℃, +100℃ to +300℃, and -100℃ to +300℃ for each 10℃ increment.

THERMAL PROPERTIES

3.3 Transformation Point and Yield Point

Transformation point 〔Tg〕 and yield point 〔At〕

The transformation point is one of the state changes of glass, and refers to the temperature at which the glass transforms from an amorphous “solid” to a supercooled “liquid”, and the expansion characteristics change at this temperature.

The measurement method reads the following temperatures from the thermal expansion curve (figure below) obtained by heating up at a constant rate of 4K per minute as specified in JOGIS-08.
The yield point is the temperature at which the glass sample softens and begins to deform due to the applied load, and the expansion characteristics change at this temperature.
The transition point Tg is the temperature corresponding to the intersection of the extension lines of the two straight lines before and after the curve slope changes significantly, and the yield point At is the temperature at which the elongation (ΔL) of the sample is maximized.
Note: The measurement equipment is being updated. Therefore, values obtained with the new equipment are marked with an asterisk (*) on the right.
In the new equipment, a glass sample of 25 mm in length and 4.5 mm in diameter is measured by heating up at a constant rate of 4 K per minute over the entire temperature range.
Transformation Point Chart
THERMAL PROPERTIES

3.6 Thermal Conductivity〔λ〕

Thermal Conductivity〔λ〕

Thermal conductivity is a numerical value that indicates the ease with which heat can be transferred within a single substance.

It is the amount of heat that flows in a unit time, through the unit area of the plate, when there is a temperature difference between both ends of the plate.

The measurement method uses the transient hot wire method, and the value of the glass sample at 35 ℃ is displayed to three significant digits.

CHEMICAL PROPERTIES

4.1 Water Resistance〔RW (P)〕and Acid Resistance 〔RA (P)〕by Powder Method

Water Resistance 〔RW (P)〕 and Acid Resistance 〔RA (P)〕 by Powder Method

Water resistance 〔RW (P)〕 and acid resistance 〔RA (P)〕 by powder method Water resistance RW (P) is a measure of the likelihood of “white discoloration”, and acid resistance RA (P) is a measure of the likelihood of “blue discoloration”, occuring on the surface of the glass. These tests are conducted in accordance with the methods in ISO 21575 (water resistance) and ISO 8424 (acid resistance). The glass to be tested is crushed to 425 μm ~ 600 μm grains. A sample of this powder equivalent to the specific gravity in grams is placed on a platinum basket . This is put in a flask of silica glass containing the reagent and boiled for 60 minutes . The sample is then carefully dried and re-weighed to determine the loss of mass% and classified as per Table .

※ Water resistance RW(P) ・・・ Pure water (pH6.5~ 7.5)
Acid resistance RA(P) ・・・ 0.01 N aqueous nitric acid solution
4.1 Water Resistance - Acid Resistance by powder method
RW (P)
Class 1 2 3 4 5 6
mass loss(%) <0.05 ≧0.05 <0.10 ≧0.10 <0.25 ≧0.25 <0.60 ≧0.60<1.10 ≧1.10

RA (P)

Class 1 2 3 4 5 6
mass loss(%) <0.20 ≧0.20 <0.35 ≧0.35 <0.65 ≧0.65 <1.20 ≧1.20 <2.20 ≧2.20
CHEMICAL PROPERTIES

4.4 Phosphate Resistance 〔PR〕

Phosphate Resistance 〔PR〕

Detergent resistance PR is a measure of the ease of the surface of glass to influenced by the detergent used in the cleaning process. The test method is based on ISO 9689. A 30 x 30 x 3 mm glass sample with 6 polished surfaces is hung in a 0.01 mol / l purified Na5P3O10 aqueous solution * at a temperature of 50 ° C for the specified times (15 minutes, 1 hour, 4 hours or 16 hours). After this treatment, the sample is weighed and the mass loss is determined. We calculate the time (min) required to erode the 0.1 μm thick glass layer from the formula used for acid resistance. * Na5P3O10 (sodium tripolyphosphate) is one of the inorganic materials (cleaning aids) contained in detergents, and it can produce a chemical reaction on the surface of the glass. For this calculation, the value obtained under the minimum test conditions where the mass loss per sample is 1 mg or more is used. Detergent resistance class PR is determined according to Table 8 from the time (minute) required for 0.1 μm erosion. As with acid resistance SR test, changes in the conditions of polished surface of the sample are observed and numbered according to the classification in Table 7.
Phosphate resistance class PR 1 2 3 4
The time decreases a surface layer at a depth of 0.1μm(min) >240 ≦240 ≧ 60 <60 ≧15 <15
CHEMICAL PROPERTIES

4.2 Weathering Resistance [W(s)] (Surface Method)

Weathering Resistance [W(s)] (Surface Method)

Surface method weather resistance W (S) is a measure of the likelihood of “white discoloration” occuring on the surface of the glass. The test method used is as follows: expose a glass sample size 30 x 30 x 3 mm polished on two sides, in a temperature and humidity chamber at 60 ° C and 95% relative humidity for 24 hours, and then observe the polished surface with a 50x microscope. Glass types showing discoloration when observed at both 1500 lux and 100 lux illuminance are tested again, using a new glass sample for 6 hours, and then same observed and graded. The classes are shown in Table 5.
Class Constant temperature and humidity chamber Illuminance at being observed
Time 1500lux 100lux
1 24hr -
2 ×
3 - ×
4 6hr - ×
○=Dimming or Staining aren’t observed ☓=Dimming or Staining are observed
CHEMICAL PROPERTIES

4.3 Acid Resistance

Acid Resistance 〔SR〕

Acid-resistant SR is a measure of the likelihood of “blue discoloration” or elution occuring on the surface of the glass using an acidic solution.

The test method is based on ISO 8424. The glass samples size 30 x 30 x 3 mm with 6 faces polished, are hung into nitric acid solution (pH 0 .3) or acetic acid buffer solution (pH 4 .6) at 25 °C for specified time (10 minutes, 100 minutes, 16 hours, 100 hours).

4.3 Acid Resistance
Calculation of the time(h) required in order to attack a surface layer to a depth of 0.1μm is done using the following formula:

The calculation is carried out by use of the value of the loss of mass which is observed by the minimum test condition (i.e.,test solution and test time) for obtaining a loss of mass greater than 1mg / sample. If the loss of mass is less than 1mg / sample after 100 hours exposure to pH 0.3, this value shall be accepted. The acid resistance class SR is obtained by comparison of the pH of the erosion fluid and the time required for the attack to a depth of 0.1μm (h) with time scales given in the classification Table 6.

t0.1 : the time (h) decreases a surface layer at a depth of 0.1μm
te : the time (h) for attack in the experiment
d : the specific gravity of the sample(g/cm3)
S : the surface area (cm2) of the sample
m1, m2 : the mass (mg) of the sample before and after the test
Acid resistance class SR 1 2 3 4 5 51 52 53
attacking solution nitric acid solution (pH 0.3) acetic acid buffer solution (pH 4.6)
The time(h) decreases a surface layer at a depth of 0.1μm >100 ≦100 ≧10 <10 ≧1 <1 ≧0.1 <0.1 >10 ≦10 ≧1 <1 ≧0.1 <0.1
In addition, changes in the surface of the sample following the treatment are qualitatively evaluated with the naked eye. Additional classification numbers are given according to Table 7.
Additional Number Changes in the Surface
.0 No visible changes
.1 Clear, but irregular surface (wavy, pockmarked)
.2 Interference colors (slight selective leaching)
.3 Tenacious thin whitish layer (stronger selective leaching)
.4 Loosely adhering thick layer (Surface crust)
MECHANICAL PROPERTIES

5.1 Elastic Modulus

Elastic Modulus

An object that changes shape when a force is applied is called an elastic body. The elastic modulus is the ratio of the force applied to an elastic body to the strain (amount of deformation). Elastic modulus is measured using the ultrasonic pulse-echo-superposition method, which measures the sound velocity of longitudinal and transverse waves at room temperature in a sufficiently slow-cooled glass sample of 100 x 10 x 10 mm. Young’s modulus (E; measured in GPa) and shear modulus (G; measured in GPa) are calculated using the following equations.
5.1 Elastic Modulus
vt Speed of sound of transverse waves (m/s)
vl Speed of sound of longitudinal waves (m/s)
ρ: Density (kg/m3)
The Poisson’s ratio (σ) is calculated from the calculated Young’s modulus and shear modulus using the following equation.
5.1 Poissons Ratio Equation
MECHANICAL PROPERTIES

5.2 Knoop Hardness 〔Hk〕

Knoop Hardness 〔Hk〕

Knoop hardness is an index that indicates the indentation hardness of an optical glass and is determined using a micro hardness tester. Knoop hardness is measured via the method shown in JOGIS-09. We press the diamond square cone indenters (opposite edges 172.5º and 130º) against the flat polished surface of the glass sample for 15 seconds with a load of 0.98 N using a microhardness meter. The length of the longer diagonal of the permanent dent generated at this time is measured, and the Knoop hardness is calculated using the following formula:
5.2 Knoop Hardness Equation
5.2 Knoop Hardness Table

In this catalog, the measured values are rounded to the first integer and the grades classified according to Table 9.

Class 1 2 3 4 5 6 7
Knoop Hardness <150 ≧150 <250 ≧250 <350 ≧350 <450 ≧450 <550 ≧550 <650 ≧650
MECHANICAL PROPERTIES

5.3 Abrasion (Aa)

5.3 Abrasion (Aa)

Abrasion is an indicator of the ease of removing material when processing glass. In accordance to JOGIS-10, a sample of size 30 x 30 x 10 mm is lapped on a 250 mm diameter cast iron flat, rotating at 60 rpm. The test piece is located 80 mm from the center of the flat and is under a 9.8 N load. 20 ml of water containing 10 g of aluminous abrasive as the lapping material, with mean grain size 20 μm (# 800), is supplied evenly to the test piece for 5 minutes. The weight loss of the test piece is then measured. The known weight loss of the standard glass is compared according to the formula below. The values of abrasion are calculated and shown to the nearest integer as the abrasion data.
5.3 Abrasion Weight Loss Formula
Aa : Abrasion
W : Abrasion mass of sample (g)
W0 : Abrasion mass (g) of standard sample
d : Sample density (g / cm3)
d0 : Standard sample density (g / cm3)
5.2-abrasion-liquid-image
OTHER PROPERTIES

6.1 Photoelastic Constant 〔β〕

Photoelastic Constant 〔β〕

Optical glass is usually isotropic, with its optical properties (refractive indices, scattering, transmission, etc.) independent of its orientation. However, when mechanical or thermal stress is exerted upon it, distortion or stress occurs in the glass and it shows birefringence. Stress F [Pa], optical path difference σ [nm] and thickness of glass d [cm] have the following relationship:

6.1-optical-glass-path-thickness-relationship
The proportionality constant β is called the photoelastic constant, and in this catalog, the optical path length difference is measured by the e-line (546.07 nm) and displayed in units of (nm / (cm ・ 105Pa)). The photoelastic constant is different for each glass type and it is possible to calculate the optical path difference from the given stress and the internal stress.
OTHER PROPERTIES

6.2 Specific Gravity〔d〕

Specific Gravity〔d〕

Specific gravity d is the density value of well annealed glass referenced against pure water at 1 atm at 4 ° C. The measurement method is in accordance with JIS Z 8807. We weigh a glass sample in air and water, and divide the density obtained by the density of water to calculate the specific gravity. The density for pure water at 1 atm 4 ° C is 0.999975 g / cm3, therefore density = specific gravity. The values are shown to two decimal places.
GUARANTEES OF QUALITY

7.1 Refractive Index and Abbe Number

Refractive Index and Abbe Number

Refractive indices and Abbe number, which are given in this catalog, are
the representative value of plural melting lots. The values of the melting lot
delivered will be within the tolerances specified below:
[ Optical Glass for Polished Lenses ]
nd : ±30×10-5
νd : ± 0.5% (rounded up to the guaranteed number of digits)
Upon special request, and depending upon the glass types, the following
tolerances can be accepted :
nd : ±20×10-5
νd : ±0.3% (rounded up to the guaranteed number of digits)
In the supply of our standard products, Melt Data is attached and includes
the following data :
– Refractive indices: the measurement values of each spectral lines (C, d, F, g ).
These are shown to 5 decimal places. (effective number: six digits)
– Abbe numberνd: the calculated value by the measured refractive indices.
These are shown to 1 or 2 decimal places.
e.g. S-BSL7
nd : 1.51633 ± 0.00030
νd : 64.14 ± 0.33
For special requirements, other than what is mentioned above, please contact us.

[ Optical Glass for Glass Mold Lenses ]
RC value : Standard RC value± 30 (Raw material control value)
νd : ± 0.5% (rounded to the guaranteed number of digits)
When products are supplied, the RC value is given to Melt No..
This RC value is Δnd at 5 decimal places concerning the material that
underwent OHARA’s standard annealing (-600°C per day). The RC value is
rounded to 4 decimal places and shows with a unit of 10-5.
And it comes with a report of theνd value to 1 or 2 decimal places concerning the
product after annealing as specified in catalog annealing (-200°C per day).
e.g. L-BSL7
RC value : -30 ± 30
νd : 64.06 ± 0.33
The standard measurement accuracy for refractive index and dispersion is
as follows :
Refractive index : ±3×10-5
Dispersion : ±2×10-5
On request, we shall measure at precision accuracy as follows :
Refractive index : ±1×10-5
Dispersion : ±3×10-6
For ultra-precision measurements and reading at spectral lines not
described in this catalog, please contact us.

GUARANTEES OF QUALITY

7.4 Striae

Striae

In case that glass retains residual strain, this can be observed as optical birefringence.
The amount of stress is measured by optical path differences and specified in nm/cm.
On special request, when we measure stress birefringence in detail,
a rectangular plate is measured 4 points located 5% from the edge at the middle of the each side.
A disc is measured at 4 points located 5% fromthe edge of the diameter.
The maximum value of the 4 points is shown as the birefringence value and is categorized based on Table 11.
For other special forms and shapes the points to be measured will be determined.

Table 12
Striae Class Striae Content Using Striaescope
1 No visible striae
2 Striae is light and scattered
3 Striae is heavier than Class 2
GUARANTEES OF QUALITY

7.7 Others

Others

We showed each properties as representative value except for 7.1~7.6. Please contact us when you want to know the other value. In addition, please let us know your preferred specification when you place the orders.
GUARANTEES OF QUALITY

7.2 Homogeneity

Homogeneity

For glass used in very precise lens systems it is sometimes necessary to measure the refractive index variation across a blank. In such cases, Ohara pays special attention to each process and can supply high homogeneity glass. The homogeneity is measured in accordance with ISO 17411 by calculating the Peak to Valley (PV) value of refractive index variation (excluding linear change component of refractive index) using computer analysis of the transmitted wavefront of a plano-plano glass sample with a phase-measuring interferometer. In cases where the value of the refractive index variation (PV) must be guaranteed within 4×10-5, measurement of an individual part is conducted and the value of the refractive index variation (PV) is guaranteed at six decimal places(10-6).

Note: The homogeneity of our standard glass products could exceed PV (Range) 4×10-5, depending on glass type, dimensions, shape, etc.

GUARANTEES OF QUALITY

7.5 Bubble & Inclusion

Bubble & Inclusion

It is most desirable to manufacture bubble-free optical glass, but the existence of bubbles to some extent is inevitable. Bubbles in optical glass vary in size and number from one glass to another due to the many different compositions and production methods. The classification of bubble content is established by specifying in mm2 the total bubble cross sections existing in 100cm3 of glass volume. Inclusions such as small stones or crystals are treated as bubbles. The bubble classes are shown in Table 13. The classification includes all bubbles and inclusions measuring larger than 0.03 mm.
Table 13
Class 1 2 3 4 5
100cm3The total cross section of bubbles(mm2/100cm3) <0.03 ≧0.03 <0.1 ≧0.1 <0.25 ≧0.25 <0.5 ≧0.5
GUARANTEES OF QUALITY

7.3 Stress Birefringence

Stress Birefringence

In case that glass retains residual strain, this can be observed as optical birefringence.

The amount of stress is measured by optical path differences and specified in nm/cm.

On special request, when we measure stress birefringence in detail, a rectangular plate is measured 4 points located 5% from the edge at the middle of each side. 

A disc is measured at 4 points located 5% from the edge of the diameter.

The maximum value of the 4 points is shown as the birefringence value and is categorized based on Table 11. 

For other special forms and shapes, the points to be measured will be determined.

Table 11

Class 1 2 3 4
Birefringence(nm/cm) <5 ≧5 <10 ≧10 <20 ≧20
7.3 Stress Birefringence
GUARANTEES OF QUALITY

7.6 Coloring

Coloring

Variation of coloring between melting lots is generally within ±10 nm. On special request, we shall report the coloring or the transmission, of the melt to be supplied by measuring spectral transmission.